Información de la Tarea
Estudiante: Andrés Cruz Chipol
Curso: Análisis y Diseño de Algoritmos
Fecha de entrega: Martes 11 de noviembre, 2025
Descripción de la Tarea
Hacer el pseudocódigo y el código en Python para crear un árbol de búsqueda binario a partir de una lista de llaves.
Árbol de Búsqueda Binario
Introducción
Un árbol de búsqueda binario (BST, por sus siglas en inglés) es una estructura de datos fundamental que permite realizar operaciones de búsqueda, inserción y eliminación de manera eficiente. La propiedad principal de un BST es que para cada nodo, todos los valores en el subárbol izquierdo son menores que el valor del nodo y todos los valores en el subárbol derecho son mayores.
Operaciones del Árbol de Búsqueda Binario
- buscar: Encuentra un nodo con una llave específica
- minimo: Encuentra el nodo con la llave mínima
- maximo: Encuentra el nodo con la llave máxima
- sucesor: Encuentra el sucesor de un nodo
- predecesor: Encuentra el predecesor de un nodo
- insertar: Inserta un nuevo nodo en el árbol
- borrar: Elimina un nodo del árbol
- recorrido_inorder: Recorre el árbol en orden
- recorrido_preorder: Recorre el árbol en preorden
- recorrido_postorder: Recorre el árbol en postorden
Todas estas operaciones se realizan en un tiempo O(h), donde h es la altura del árbol.
Pseudocódigo
Estructura del Nodo
Nodo: key: valor almacenado en el nodo izq: puntero al hijo izquierdo der: puntero al hijo derecho p: puntero al padreEstructura del Árbol
ArbolBusquedaBinaria: raiz: puntero a la raíz del árbol
Si raiz == NIL entonces el árbol está vacíoCrear árbol desde una lista
crear_arbol_desde_lista(A, lista_llaves): A.raiz = NIL para cada llave en lista_llaves: insertar_arbol(A, crear_nodo(llave)) retornar ABuscar
buscar_arbol(x, k): if x == NIL or k == x.key return x if k < x.key return buscar_arbol(x.izq, k) else return buscar_arbol(x.der, k)Mínimo
minimo_arbol(x): while x.izq != NIL x = x.izq return xMáximo
maximo_arbol(x): while x.der != NIL x = x.der return xSucesor
sucesor_arbol(x): if x.der != NIL return minimo_arbol(x.der) y = x.p while y != NIL and x == y.der x = y y = y.p return yPredecesor
predecesor_arbol(x): if x.izq != NIL return maximo_arbol(x.izq) y = x.p while y != NIL and x == y.izq x = y y = y.p return yInsertar
insertar_arbol(A, z): y = NIL x = A.raiz while x != NIL y = x if z.llave < x.llave x = x.izq else x = x.der z.p = y if y == NIL A.raiz = z else if z.llave < y.llave y.izq = z else y.der = zTransplantar (función auxiliar para borrar)
transplantar(A, u, v): if u.p == NIL A.raiz = v else if u == u.p.izq u.p.izq = v else u.p.der = v if v != NIL v.p = u.pBorrar
borrar_nodo_en_arbol(A, z): if z.izq == NIL transplantar(A, z, z.der) else if z.der == NIL transplantar(A, z, z.izq) else y = minimo_arbol(z.der) if y.p != z transplantar(A, y, y.der) y.der = z.der y.der.p = y transplantar(A, z, y) y.izq = z.izq y.izq.p = yRecorrido Inorder
recorrido_inorder(x): if x != NIL recorrido_inorder(x.izq) imprimir(x.key) recorrido_inorder(x.der)Recorrido Preorder
recorrido_preorder(x): if x != NIL imprimir(x.key) recorrido_preorder(x.izq) recorrido_preorder(x.der)Recorrido Postorder
recorrido_postorder(x): if x != NIL recorrido_postorder(x.izq) recorrido_postorder(x.der) imprimir(x.key)Implementación en Python
class Nodo: def __init__(self, key): self.key = key self.izq = None self.der = None self.p = None
class ArbolBusquedaBinaria: def __init__(self): self.raiz = None
def insertar(self, key): z = Nodo(key) y = None x = self.raiz
while x is not None: y = x if z.key < x.key: x = x.izq else: x = x.der z.p = y if y is None: self.raiz = z elif z.key < y.key: y.izq = z else: y.der = z
def crear_desde_lista(self, lista_llaves): self.raiz = None for llave in lista_llaves: self.insertar(llave) return self
def buscar(self, x, k): if x is None or k == x.key: return x if k < x.key: return self.buscar(x.izq, k) else: return self.buscar(x.der, k)
def buscar_nodo(self, k): return self.buscar(self.raiz, k)
def minimo(self, x=None): if x is None: x = self.raiz while x is not None and x.izq is not None: x = x.izq return x
def maximo(self, x=None): if x is None: x = self.raiz while x is not None and x.der is not None: x = x.der return x
def sucesor(self, x): if x.der is not None: return self.minimo(x.der) y = x.p while y is not None and x == y.der: x = y y = y.p return y
def predecesor(self, x): if x.izq is not None: return self.maximo(x.izq) y = x.p while y is not None and x == y.izq: x = y y = y.p return y
def transplantar(self, u, v): if u.p is None: self.raiz = v elif u == u.p.izq: u.p.izq = v else: u.p.der = v if v is not None: v.p = u.p
def borrar(self, z): if z.izq is None: self.transplantar(z, z.der) elif z.der is None: self.transplantar(z, z.izq) else: y = self.minimo(z.der) if y.p != z: self.transplantar(y, y.der) y.der = z.der y.der.p = y self.transplantar(z, y) y.izq = z.izq y.izq.p = y
def recorrido_inorder(self, x): if x is not None: self.recorrido_inorder(x.izq) print(x.key, end=' ') self.recorrido_inorder(x.der)
def imprimir_inorder(self): self.recorrido_inorder(self.raiz) print()
def recorrido_preorder(self, x): if x is not None: print(x.key, end=' ') self.recorrido_preorder(x.izq) self.recorrido_preorder(x.der)
def imprimir_preorder(self): self.recorrido_preorder(self.raiz) print()
def recorrido_postorder(self, x): if x is not None: self.recorrido_postorder(x.izq) self.recorrido_postorder(x.der) print(x.key, end=' ')
def imprimir_postorder(self): self.recorrido_postorder(self.raiz) print()
def altura(self, x): if x is None: return -1 return 1 + max(self.altura(x.izq), self.altura(x.der))
def altura_arbol(self): return self.altura(self.raiz)
def crear_arbol_desde_lista(lista_llaves): arbol = ArbolBusquedaBinaria() arbol.crear_desde_lista(lista_llaves) return arbol
if __name__ == "__main__": llaves = [15, 6, 18, 3, 7, 17, 20, 2, 4, 13, 9]
print("Creando árbol desde lista:", llaves) arbol = crear_arbol_desde_lista(llaves)
print("\nRecorrido Inorder (ordenado):") arbol.imprimir_inorder()
print("\nRecorrido Preorder:") arbol.imprimir_preorder()
print("\nRecorrido Postorder:") arbol.imprimir_postorder()
print("\nMínimo:", arbol.minimo().key if arbol.minimo() else None) print("Máximo:", arbol.maximo().key if arbol.maximo() else None)
print("\nBuscando nodo con llave 7:") nodo = arbol.buscar_nodo(7) if nodo: print("Encontrado:", nodo.key) if arbol.sucesor(nodo): print("Sucesor:", arbol.sucesor(nodo).key) if arbol.predecesor(nodo): print("Predecesor:", arbol.predecesor(nodo).key)
print("\nAltura del árbol:", arbol.altura_arbol())Resultados
Ejecución del programa
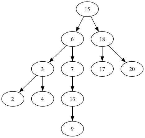
Al ejecutar el código con la lista de llaves [15, 6, 18, 3, 7, 17, 20, 2, 4, 13, 9], se obtienen los siguientes resultados:
Creando árbol desde lista: [15, 6, 18, 3, 7, 17, 20, 2, 4, 13, 9]
Recorrido Inorder (ordenado):2 3 4 6 7 9 13 15 17 18 20
Recorrido Preorder:15 6 3 2 4 7 13 9 18 17 20
Recorrido Postorder:2 4 3 9 13 7 6 17 20 18 15
Mínimo: 2Máximo: 20
Buscando nodo con llave 7:Encontrado: 7Sucesor: 9Predecesor: 6
Altura del árbol: 4Representación Visual del Árbol
La siguiente imagen muestra la estructura del árbol de búsqueda binario creado a partir de la lista [15, 6, 18, 3, 7, 17, 20, 2, 4, 13, 9]:

Conclusión
La implementación del árbol de búsqueda binaria funciona correctamente. El método crear_desde_lista() permite construir el árbol a partir de una lista de llaves, y todas las operaciones básicas (buscar, insertar, borrar, recorridos, etc.) se ejecutan como se espera. La complejidad temporal de las operaciones es O(h), donde h es la altura del árbol.
El árbol de búsqueda binario es una estructura de datos fundamental que sirve como base para estructuras más avanzadas como árboles AVL y árboles Rojo-Negro, que mantienen el árbol balanceado para garantizar operaciones en tiempo O(log n).
Referencias
Cormen, T. H., Leiserson, C. E., Rivest, R. L., & Stein, C. (2009). Introduction to algorithms (3ra ed.). MIT Press.